Sicherheitshinweis: Warnung vor Betrugsversuchen im Namen der MEAG

Wir haben Hinweise zu Fällen erhalten, in denen die MEAG oder ihre Mitarbeiter in sozialen Medien für Betrugsversuche missbraucht worden sind bzw. werden. Dies kann über gefälschte Webseiten, Facebook-Seiten, WhatsApp-Gruppen sowie Apps geschehen. Bitte beachten Sie, dass die MEAG keine WhatsApp-Chats betreibt und auch sonst keine sozialen Medien nutzt, in denen Anlagetipps o.ä. angeboten werden.

Sollten Sie Anrufe, Nachrichten oder E-Mails erhalten, in denen Sie im Namen der MEAG aufgefordert werden, persönliche Daten preiszugeben, Anlagetipps zu befolgen oder Zahlungen zu leisten, gehen Sie bitte nicht darauf ein. Melden Sie bitte zweifelhafte Aktivitäten an info@meag.com.

Was ist der Performance-Check?

Schritt für Schritt erklärt

Einblicke in die Fondsperformance

Verschiedene Zeiträume

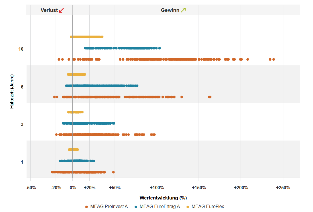
Vergleich der Wertentwicklung von Fonds über eine Haltedauer von 1, 3, 5 und 10 Jahren.

Interaktive Grafik

Detaillierte Ergebnisse für verschiedene Haltezeiträume.

Individuelle Auswahl

Bis zu drei Fonds gleichzeitig analysieren und vergleichen.

Transparente Daten

Klare und nachvollziehbare Informationen zu den Wertentwicklungen.

Jetzt Video starten: So funktioniert der MEAG Performance-Check!

So einfach geht's

Das Tool im praktischen EinsatzSo funktioniert der Performance-Check

Das Tool im praktischen EinsatzDargestellte Wertentwicklung aus dem Beispiel ansehen

"Der Performance-Check veranschaulicht die historische Wertentwicklung von Fonds über verschiedene Zeiträume. Je nach Haltedauer, Fondsart und Anlegertyp zeigen sich dabei deutliche Unterschiede in der Wertentwicklung."

Martin Böhm, Produktmanager Retail Clients

Jetzt entdecken!
1

Häufige Fragen und Antworten

Was zeigt der Performance-Check genau an?

Warum ist ein Vergleich von Fonds über verschiedene Haltedauern sinnvoll?

Wie kann ich die Ergebnisse im Diagramm interpretieren?

Was ist die Schwankungsbreite eines Fonds?

Wie hilft der Performance-Check bei der Risikoeinschätzung?

Dies ist eine Marketing-Anzeige. Diese Information ist weder ein Angebot, eine Anlageberatung noch eine Empfehlung zum Erwerb oder Verkauf von Fondsanteilen und kann eine individuelle Beratung nicht ersetzen. Wir empfehlen Ihnen, sich bei Bedarf vor der Auswahl von Fondsanteilen eingehend zu informieren und produktbezogen beraten zu lassen. Eine Vervielfältigung oder Weiterverbreitung dieser Unterlage oder der darin enthaltenen Informationen, ganz oder teilweise, ist nicht gestattet.

Allein verbindliche Grundlage für den Erwerb von Fondsanteilen sowie für die Beurteilung der jeweiligen Chancen und Risiken sind das Basisinformationsblatt, der Verkaufsprospekt sowie der letzte Jahres- bzw. Halbjahresbericht des Investmentfonds. Der Verkaufsprospekt enthält ausführliche Risikohinweise. Diese Unterlagen erhalten Sie kostenlos in deutscher Sprache bei: MEAG MUNICH ERGO Kapitalanlagegesellschaft mbH, Am Münchner Tor 1, 80805 München, Internet www.meag.com

Eine Zusammenfassung der Anlegerrechte in Deutsch erhalten Sie hier: https://www.meag.com/de/informieren/medien/Anlegerrechte.pdf.

Die frühere Wertentwicklung lässt nicht auf zukünftige Ergebnisse schließen. Die zukünftige Wertentwicklung unterliegt der Besteuerung, die von der persönlichen Situation des jeweiligen Anlegers abhängig ist und sich in der Zukunft ändern kann. Der Wert der Fondsanteile und deren Erträge kann steigen oder fallen; ein finanzieller Verlust ist möglich.

Die Analyse der Wertentwicklung bezieht sich auf Zeiträume mit einem Endpunkt, der bis zu 15 Jahre in der Vergangenheit liegt. Innerhalb dieses Rahmens werden abhängig vom Auflagedatum des Fonds rollierende 1-, 3-, 5- und 10-Jahreszeiträume gebildet. Bei Betrachtungen über 10 Jahre kann der Beginn des Zeitraums somit bis zu 25 Jahre in der Vergangenheit liegen.

Hinweis: Die dargestellten Informationen und Zahlen basieren auf Daten mit Stand 02.11.2025.

Die Wertentwicklung wurde nach der BVI-Methode berechnet (Bruttowertentwicklung). Diese berücksichtigt neben den bereits auf Fondsebene anfallenden Kosten (wie z. B. Verwaltungsvergütung) keine weiteren Kosten (wie z. B. Ausgabeaufschlag und Depotgebühren), die sich mindernd auf die Wertentwicklung auswirken. Bei der BVI-Methode wird eine Wiederanlage der Ausschüttung mit Steuergutschriften, aber ohne Quellensteuer angenommen.

Rechtliche Hinweise zum MEAG ProInvest: Der Fonds weist aufgrund der Zusammensetzung bzw. der vom Fondsmanagement verwendeten Techniken eine erhöhte Volatilität auf, das heißt, die Anteilpreise können auch innerhalb kurzer Zeiträume stärkeren Schwankungen nach unten oder nach oben unterworfen sein. Wertpapiere und Geldmarktinstrumente bestimmter Emittenten dürfen mehr als 35 Prozent des Wertes des Fondsvermögens betragen.

Die Informationen stammen aus Quellen, die die MEAG für zuverlässig hält, und wurden sorgfältig recherchiert. Prognosen unterliegen Risiken und Unsicherheiten; tatsächliche Entwicklungen können davon deutlich abweichen. Bitte beachten Sie die rechtlichen Hinweise im Tool. Diese Unterlage dient ausschließlich allgemeinen Informationszwecken und ersetzt keine individuelle steuerliche oder rechtliche Beratung. Eine Haftung für unmittelbare oder mittelbare Schäden aus der Nutzung der Informationen wird ausgeschlossen.

Alle Rechte vorbehalten. Weitere Informationen auf www.meag.com.

Stand der Informationen: 02.11.2025, soweit nicht anders angegeben.

Weitere praktische Tools